各位考生:
根据公司复试工作相关安排,为做好研究生调剂复试工作,现将电气2022年硕士研究生第一批调剂复试工作有关事项公告如下:
一、考生复试前准备
1、按照《2022年3377体育硕士研究生调剂复试工作方案》(/info/1002/87635.htm)要求,提前准备好满足复试要求的网络环境与设备。
2、4月7日,复试小组联络员与考生取得联系(名单详见附录),说明网络复试系统测试工作安排,测试网络环境,当天保证电话畅通,随时准备参与测试。
二、复试时间及流程安排
复试时间:4月8日(周五)8点30分,每位考生的复试时间不少于 20 分钟。
复试形式:采取“三随机”原则,即“随机确定考生复试次序”、“随机确定导师组组成人员”、“随机抽取复试试题”,具体流程如下:
1、复试开始前1小时,秘书利用在线随机数生成器,随机抽取面试导师。
2、复试工作开始前30分钟,秘书利用在线随机数生成器,对小组内复试考生进行随机排序并告知考生按序候考。
3、秘书允许考生进入考场后,复试小组对考生身份验证(手持身份证、准考证)
4、考生宣读承诺书
5、综合素质能力面试:考生先用英文进行90秒的自我介绍,考官提问考核英文听说能力,然后考官提问思想政治考核题,面试考官对考生的语言及逻辑表达能力、外国语听力和口语、思想政治品德三方面分别打分。
6、专业基础及能力考核:考生随机抽取3道试题,并在规定时间内作答,然后面试老师进行随机综合提问,考核考生专业应用能力以及利用所学理论发现、分析和解决问题的能力,考官根据考生回答对专业基础及能力进行打分。
三、复试工作紧急联系人
联系人:汝老师
联系电话:13074595825
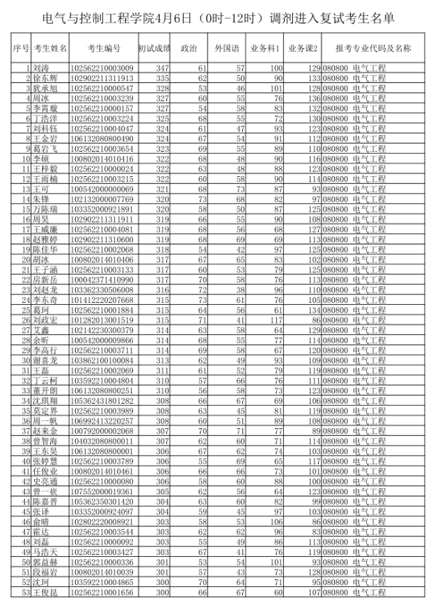
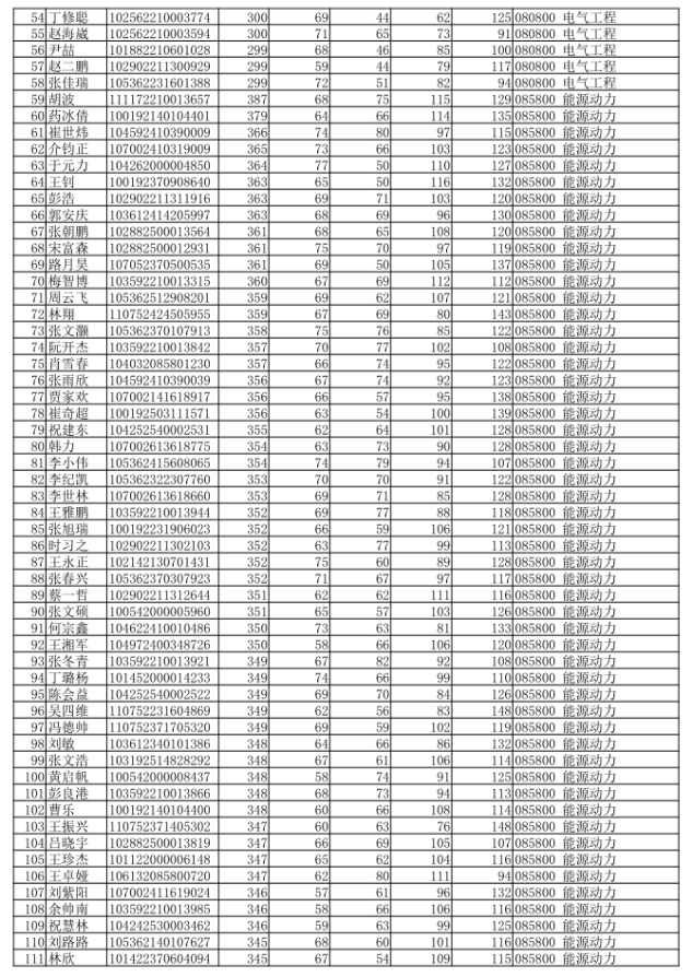
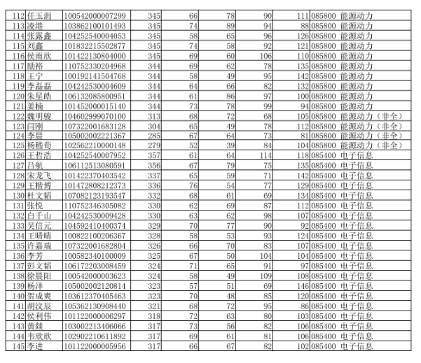
附录:4月6日(0时-12时)调剂进入复试考生名单



3377体育
2022年4月7日